How RoverTracer Works
Advanced in-pipe detection and repair technology for live water pipelines.
How RoverTracer Detects Cracks
RoverTracer uses EMAT (Electromagnetic Acoustic Transducer) technology to detect cracks in live water pipelines. The system employs S0 guided waves that propagate along the pipe wall, with transmitters and receivers positioned to capture back-scatter from defects.
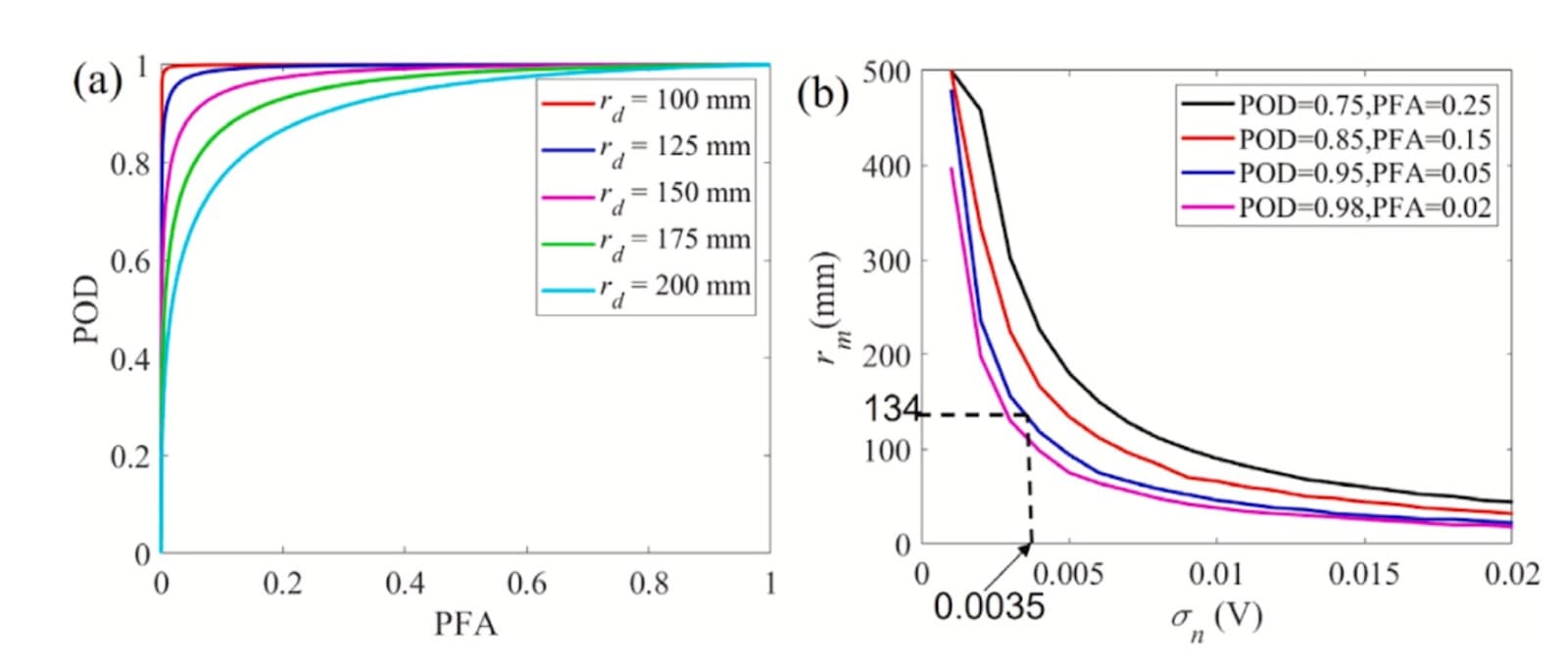
Signal processing uses a Hilbert envelope to extract amplitude envelopes from the received signals. Statistical thresholding based on POD (Probability of Detection) and PFA (Probability of False Alarm) metrics, analyzed through ROC (Receiver Operating Characteristic) curves, enables reliable crack detection while minimizing false positives.
Based on published guided-wave inspection research; adapted for continuous scanning in live water pipelines. Research foundation from NDT&E International, 2023.

Signal-to-noise analysis showing detection capability

ROC curve for threshold optimization
Research foundation from NDT&E International, 2023.
Two-Stage Inspection Logic
Continuous scanning mode: RoverTracer moves through the pipeline while EMAT sensors continuously monitor for anomalies. This enables rapid coverage of long pipe segments.
When an anomaly is detected, the robot pauses and performs localized measurements to precisely identify the defect location and characteristics.
For early-stage cracks, RoverTracer applies sealant directly to the defect, preventing progression to full failures without requiring excavation.
Safety + Live-Flow Design
All electronics and sensors are housed in waterproof enclosures rated for continuous operation in live water pipelines.
Compact design ensures minimal impact on water flow, allowing operation in active pipelines without service interruption.
RoverTracer units are designed for multiple deployments, reducing per-inspection costs and environmental impact.